KOJI, ACID KOJIC VÀ KJDANY'S WHITENING CREAM
KOJI, ACID KOJIC VÀ CREAM DANY

![]() |
![]() |
Koji
Từ thời cổ đại, quá trình lên men đã mê hoặc nhân loại, mặc dù thực tế là cho đến thế kỷ trước, các quá trình này được thực hiện hoàn toàn theo kinh nghiệm. Ở Trung Quốc trong nhiều thế kỷ, hạt ngũ cốc, đặc biệt là gạo, được chuyển đổi thành đồ uống có cồn bằng cách sử dụng một quá trình lên men được bắt đầu bởi một loại nấm, Loại nấm này đã tạo ra một nhiều loại enzym hữu ích (ví dụ: amylase, proteinase), cung cấp chất nền cho quá trình lên men của nấm men hoặc vi khuẩn. Tương tự, đậu nành đã được chuyển đổi thành phụ gia thực phẩm như bột đậu nành (huang- chiang), nước tương (chiang-yu) và đậu nguyên hạt lên men (tou-shi). Nấm 'starter' (huang-chu) được lấy bằng cách cẩn thận lựa chọn một loại nấm xanh vàng, một quy trình có từ triều đại nhả Chu 1121–220 TCN.

Hình 1: Hình thái dưới kính hiển vi của Aspergillus oryzae
Vào thế kỷ thứ bảy, các tu sĩ Phật giáo đã mang phương pháp của họ từ Trung Quốc đến Nhật Bản, nơi chủng nấm, ngày nay gọi là Aspergillus oryzae, cũng được gọi là koji. Sau khi nấm phát triển trên cơm hấp, koji thu được được sử dụng để ủ rượu gạo (sake´), một loại rượu ngọt đồ uống (amazake), rượu chưng cất (shochu) hoặc làm shoyu (nước tương), miso (bột nhão từ đậu nành), và rượu ngọt (mirin). Theo thuật ngữ hiện đại, quá trình koji là một quá trình lên men ở trạng thái rắn. hiện đang mang lại lợi ích công nghiệp đáng kể cho việc sản xuất một loạt các enzym, acid hữu cơ, chất chuyển hóa thứ cấp và nhiên liệu sinh học, như cũng như để xử lý sinh học.
Tóm lại có thể hiểu koji có thể chỉ nấm men Aspergillus oryzae, quá trình lên men cơm tạo món koji hay là tên của món ân phổ biến của người Nhật từ quá trình trên.
Acid kojic
Một trăm năm trước, quá trình koji ở Nhật Bản đã dẫn đến sự cô lập một nguyên liệu hiện được gọi là acid kojic. Chất này được phát hiện bởi K. Saito, một nhà nghiên cứu không nổi tiếng bên ngoài Nhật Bản;. tuy nhiên, ông cũng không đặt tên và không xác định cấu trúc vào thời điểm đó (1907).
Acid Kojic là một trong các chất chuyển hóa thứ cấp trong nấm được phân lập sớm nhất, sau acid oxalic từ A. niger vào năm 1891 và acid mycophenolic (khi đó chưa được đặt tên) từ ‘Penicillium glaucum' (có thể là P. brevicompactum) vào năm 1893. Trong khi acid succinic được chứng minh là được hình thành bởi Mucor mucedo trong 1873 và acid citric bởi Citromyces sp.
Saito, trong bài viết bằng tiếng Đức, đã mô tà sau một thời gian tăng trưởng trên gạo, khối này trở thành một chất lỏng có tính acid tạo ra màu rượu vang đến đỏ tím với dung dịch nước clorua sắt. Ông thu được một acid kết tinh bằng một quy trình phức tạp mặc dù các tinh thể đã được mô tả cẩn thận, không đạt được điểm nóng chảy vì những tạp chất dầu. Sản phẩm dường như không giống với các vật liệu hiện có (bao gồm cả acid mycophenolic chưa được đặt tên) và được cho là một "b-resorcylcarbonsaure". Theo tiêu chuẫn một bài báo, bài báo của Saito thiếu sót một cách đáng tiếc.vì không bao gồm một mô tả nào về khối lượng, thể tích hoặc nhiệt độ và không xác định được nơi công việc được thực hiện.
Năm 1912, Teijiro Yabuta mô tả, bằng tiếng Anh, công việc tiếp theo. Tại thời gian đó, Yabuta làm việc tại trường Cao đẳng Nông nghiệp, Imperial Đại học Tokyo; sau này ông trở thành Giám đốc Sở Nông nghiệp Viện Hóa học Tokyo, Đại học Hoàng gia. Phần cơm trắng (150 g) được cấy A. oryzae và giữ ở nhiệt độ 30 – 35 oC trong 2 – 3 tuần, lắc liên tục, cho đến khi được bao phủ hoàn toàn với sợi nấm và bào tử. Sau khi sấy ở nhiệt độ thấp, gạo được nghiền thành bột mịn và chiết bằng ete trong thiết bị Soxhlet.
Một ít acid tách ra khỏi ether và nhiều hơn đã được thu bằng bốc hơi. Sau khi xử lý bằng ete dầu mỏ để loại bỏ "chất béo", acid được hòa tan trong nước, khử màu bằng than động vật không có sắt, và dung dịch được bay hơi. Yabuta đặt tên acid kojic cho sản phẩm và thu được khoảng 50 g nguyên liệu từ 15 kg gạo.
Trong một phương pháp khác, bột koji mịn được chiết xuất với ethanol sôi; acid được tinh chế bằng cách chuyển đổi liên tiếp thành muối chì và đồng, sau đó, sau khi loại bỏ đồng bằng H2S, bằng cách kết tinh. Tinh thể (nóng chảy 152 ◦C, chưa hiệu chỉnh), có vị đắng; dung dịch nước hơi chua.
Yabuta xác định công thức phân tử là C12H14O8(OH)4(COOH)2. Ngoài ra, Yabuta đã quan sát thấy sự hình thành acid koji bởi một số loài Aspergillus khác loài (A. albus, A. candidus, A. nidulans).

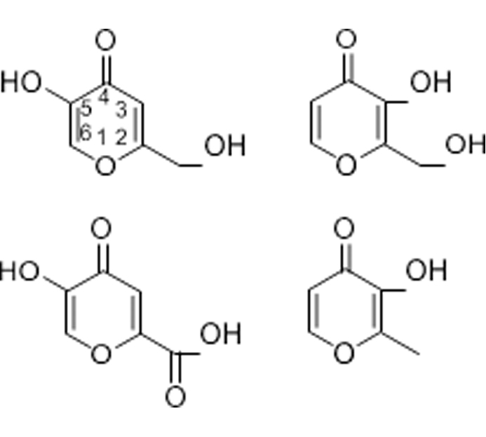
Hình 2: Cấu trúc kojic theo Yabuta
Năm 1916, trong một bài bằng tiếng Nhật, Yabuta bây giờ đã dùng tên acid kojic và sửa công thức phân tử thành C6H6O4. Ông lưu ý rằng acid kojic không chỉ có trong sinh vật và trong koji, nhưng
được hình thành trên môi trường 10% glucose; 1/10 glucose được chuyển thành acid kojic. Các quan sát hóa học của Yabuta gợi ý rằng acid kojic có một trong hai cấu trúc hydroxy-c-pyrone 1 hoặc 2, gần giống với acid comenic 3 và maltol 4.
Trong khi Yabuta ủng hộ mối quan hệ với acid comenic, acid kojic và acid comenic không thể chuyển đổi lẫn nhau.
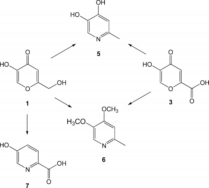
Qua quy trình nhiều bước (Sơ đồ 1) các sản phẩm dẫn chất pyridin 5 (4,5-dihydroxy-2- metylpyridin) và 6 (4,5-dimethoxy-2-methylpyridin) đều thu được từ hai acid này xác nhận thêm về cấu trúc được chấp nhận hiện nay, 5-hydroxy-2-(hydroxymetyl)-4H-pyran-4-on (5-hydroxy-2- hydroxymetyl-cpyrone) 1, còn chuyển hóa thành 5-hydroxypicolinic acid 7. Ngoài ra, cấu trúc acid kojic đã được xác định bằng phương pháp nhiễu xạ tia X. Acid kojic và một số các dẫn xuất đã được tổng hợp hóa học từ glucose và các carbohydrat khác.

Sơ đồ 1: Bằng chứng về cấu trúc của acid kojic
Sự quan tâm đến acid kojic đã tăng lên đáng kể bởi một bài báo ngắn xuất bản năm 1979. Saruno và cs. quan sát thấy rằng môi trường nuôi cấy của A. albus ức chế hoạt động tyrosinase. chất ức chế được chiết ra khỏi dịch lọc bằng ethyl axetat; sản lượng của vật liệu tinh khiết, mp 154 ◦C, là đáng kể 50 g /L. Phổ hồng ngoại, NMR và tử ngoại của vật liệu này giống hệt acid kojic. Acid kojic của A. oryzae cũng được chứng minh là ức chế hoạt động tyrosinase. Tương tự, acid kojic ức chế hoạt động tyrosinase cô lập có thể là do chelat hóa thành phần đồng của enzyme này Tyrosinase là enzyme monooxygenase chứa đồng. Tuy nhiên ứng dụng của acid kojic vẫn chưa được làm rõ.

Hình 3: Cấu trúc tinh thể của tyrosinase Trong mô hình, phân tử tyrosinase, các nguyên tử đồng được hiển thị bằng màu xanh lục
Mãi đến năm 1989 một nhà khoa học tên là Tiến sĩ Miyoshi, người đang nghiên cứu các sản phẩm phụ của quá trình lên men rượu sake. Ông nhận thấy rằng nấm mốc koji được sử dụng trong sản xuất rượu sake có tác dụng làm sáng da tay của người lao động và ông đã phân lập th ành phần hoạt chất chịu trách nhiệm này là acid kojic.

Sơ đồ 2: Cơ chế tác dụng của acid kojic
Acid kojic bắt đầu được quan tâm sản xuất và phát triển khi các nhà nghiên cứu của Sansho Pharmaceutical áp dụng công nghệ phát triển thuốc để phát triển các sản phẩm gần như thuốc
|
Hình 4: Nhà thuốc Jinnai Sansho-do, tiền thân của Công ty TNHH Dược phẩm Sansho được thành lập trong thời kỳ Minh Trị |
Hình 5: Phòng thí nghiệm Shansho Pharmaceutical Co. Ltd. |
và mỹ phẩm của mình. Công ty Dược phẩm Sansho là tiên phong của các sản phẩm làm sáng da. "Acid kojic", do Sansho Pharmaceutical phát triển, là sản phẩm đầu tiên ở Nhật Bản được phê duyệt là hoạt chất làm sáng da. Đây là sự khởi đầu của khái niệm "làm sáng da", trong lĩnh vực gần như thuốc. Sự phát triển của Acid Kojic bắt đầu khi các nhà nghiên cứu của Sansho Pharmaceutical lấy một gợi ý từ câu nói của một người Nhật rằng "bàn tay của những người nấu rượu sake rất sáng và đẹp". Kết quả của nhiều thử nghiệm đã phát hiện ra rằng Acid Kojic, có nguồn gốc từ Koji Nhật Bản được sử dụng để ủ rượu sake Nhật Bản, có tác dụng làm sáng da. Phải mất 13 năm để chứng minh tính an toàn và hiệu quả.
Vào năm 1988, nhiều năm nghiên cứu cuối cùng đã đơm hoa kết trái và Sansho Pharmaceutical đã tung ra loại kem đầu tiên trên thế giới có chứa Acid Kojic. Đây là khởi đầu của mỹ phẩm "làm sáng da" ở Nhật Bản
Trên thực tế, trước đây người ta đã quan sát thấy rằng khi cá vàng đen được cho ăn acid kojic, sắc tố bị mất và cá chuyển sang màu vàng nâu sau 49 ngày điều trị.
acid kojic cũng ức chế quá trình hình thành hắc tố được quy cho sự kết hợp của hai hiệu ứng: (i) sự ức chế tác động lên quá trình oxy hóa polyphenoloxidase (PPO) của L-tyrosin và (ii) loại bỏ của o-quinone bằng cách kết hợp với acid kojic, do đó ngăn ngừa trùng hợp thành melanin.
Tại Nhật Bản, acid kojic bắt đầu được sử dụng rộng rãi trong các sản phẩm mỹ phẩm làm sáng da. trên thực tế, sự khác biệt về da giữa phụ nữ da trắng và châu Á; loại thứ hai có xu hướng phát triển các đốm hắc tố sẫm màu, rõ ràng là từ tiếp xúc với tia cực tím từ mặt trời. Trước đây, các thầy thuốc đã cố gắng để loại bỏ các điểm, nhưng công việc ngày càng hướng đến tìm ra lý do tại sao chúng phát triển.
"Cơn sốt" làm sáng da còn phát triển mạnh ở các nước khác. Các nước châu Á và nhiều lựa chọn kem làm sáng da đã phát triển mạnh trong thập kỷ qua trong siêu thị và hiệu thuốc kệ không chỉ ở Nhật Bản, mà còn ở Hồng Kông, Malaysia, Philippines, Hàn Quốc và Đài Loan. Được biết, 4 trong số 10 phụ nữ sử dụng chế phẩm như vậy.
Ở Singapo, cũng như những nơi khác ở châu Á, Nám da có thể điều trị được với chế phẩm chứa hydroquinon và acid glycolic; kết quả được cải thiện khi thêm 2% acid kojic vào công thức.
Trong các thử nghiệm được kiểm soát cẩn thận, một nửa số ca nám da xóa ở 60% bệnh nhân sử dụng công thức có chứa kojic acid, so với 47,5% chỉ sử dụng hydroquinon/ acid glycolic.
Theo một hướng khác, acid kojic đã được tìm thấy để ngăn ngừa tổn thương do ánh sáng và nếp nhăn sau đó trên da ở chuột trụi lông.
Do tính gây ung thư của hydroquinon và sự cấm sử dụng ở Châu Á, FDA đã giới thiệu KA như một giải pháp thay thế cho hydroquinon. Gần đây,chelat của acid kojic và mangan đã được giới thiệu như là chất bảo vệ chống lại tia gamma
Acid kojic an toàn khi sử dụng trong mỹ phẩm ở nồng độ 1% theo Hội đồng chuyên gia đánh giá thành phần mỹ phẩm.
Bên cạnh đó, acid kojic đã thể hiện đặc tính kháng khuẩn có thể diệt trừ một số loại vi khuẩn phổ biến (ví dụ: vi khuẩn gây mụn trứng cá) thậm chí ở những pha loãng nhỏ. Các nghiên cứu cũng chỉ ra rằng acid kojic có khả năng tác dụng kháng nấm. Hơn nữa, việc điều trị nhiễm trùng nấm men, nấm candida và nấm ngoài da cũng đã được báo cáo.
Acid kojic được sử dụng rộng rãi trong nhiều ngành khác nhau như:
Thực phẩm: phụ gia thực phẩm, chất bảo quản, sử dụng trong hương liệu
Nông nghiệp : tác nhân tăng trưởng thực vật, thuốc trừ sâu.
Hóa học : tổng hợp 2-methyl-4-pyron.
Acid kojic là một nguyên liệu quí, lại được chiết xuất từ nấm men Aspegillus oryzae một nguyên liệu rẻ tiền dễ kiếm nhất là ở những nước có khí hậu nóng ẩm như nước ta. Nhưng nhữ nghiên cứu
ở nước ta còn hạn chế. Từ 2012 nhóm nghiên cứu của Đại học Y dược TP.HCM đã nghiên cứu xây dựng qui trình tối ưu để sản xuất acid kojic với hiệu suất cao từ nguồn Aspergillus oryzae sẵn có trong nước. Trên cơ sở acid kojic thu được nhóm tiếp tục nghiên cứu các dẫn chất của acid kojic và nghiên cứu tác dụng dược lý acid kojic và các dẫn chất. Năm 2022 các nhà khoa học công ty DANY đã cho ra đời chế phẩm cream trắng da DANY có hiệu quả cao trong việc làm trắng da cùng với độ an toàn cao. (xemphần 2).
Trương Phương



